******中国·太阳集团2138(股份有限公司)-Official website

通知公告

    通知公告
    当前位置: 首页 > 通知公告 > 正文

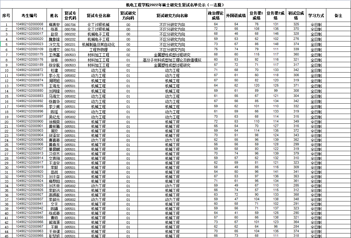
    太阳集团21382022年硕士研究生复试名单公示(一志愿)

    发布时间:2022-04-04  发布者: 点击阅读数: